题目内容
设命题p:f(x)=
【答案】分析:先根据分式函数的单调性求出命题p为真时m的取值范围,然后根据题意求出|x1-x2|的最大值,再解不等式,若-p∧q为真则命题p假q真,从而可求出m的取值范围.
解答:解:∵f(x)=
在区间(-∞,m),(m,+∞)上是减函数而在区间(1,+∞)上是减函数;
∴m<1即命题p为真命题时m<1,命题p为假命题时m≥1
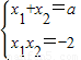
∵x1,x2是方程x2-ax-2=0的两个实根
∴
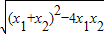
∴|x1-x2|=
=
∴当a∈[-1,1]时,|x1-x2|max=3,
由不等式m2+5m-3≥|x1-x2|对任意实数m∈[-1,1]恒成立.
可得:m2+5m-3≥3,∴m≥1或m≤-6,
∴命题q为真命题时m≥1或m≤-6,
∵-p∧q为真
∴命题p假q真即
∴实数m的取值范围是m≥1
点评:本题主要考查了命题真假的判断的应用,解题时要认真审题,仔细解答,同时考查了运算求解的能力,属于中档题.
解答:解:∵f(x)=
∴m<1即命题p为真命题时m<1,命题p为假命题时m≥1
∵x1,x2是方程x2-ax-2=0的两个实根
∴
∴|x1-x2|=
∴当a∈[-1,1]时,|x1-x2|max=3,
由不等式m2+5m-3≥|x1-x2|对任意实数m∈[-1,1]恒成立.
可得:m2+5m-3≥3,∴m≥1或m≤-6,
∴命题q为真命题时m≥1或m≤-6,
∵-p∧q为真
∴命题p假q真即
∴实数m的取值范围是m≥1
点评:本题主要考查了命题真假的判断的应用,解题时要认真审题,仔细解答,同时考查了运算求解的能力,属于中档题.
练习册系列答案
相关题目