题目内容
已知点A,B的坐标分别是(0,-1),(0,1),直线AM,BM相交于点M,且它们的斜率之积-(1)求点M轨迹C的方程;
(2)若过点D(2,0)的直线l与(1)中的轨迹C交于不同的两点D、F(E在D、F之间),试求△ODE与△ODF面积之比的取值范围(O为坐标原点).
【答案】分析:(1)设M(x,y),∵
,∴
,整理后就得到动点M的轨迹方程.
(2)设l的方程为
,将①代入
,解得
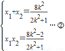
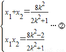
,设E(x1,y1),F(x2,y2),则
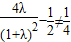
,令λ=
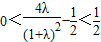
,且0<λ<1.由此可求出△ODE与△ODF面积之比的取值范围是
.
解答:解:解:(1)、设M(x,y),∵
,∴
,
整理得动点M的轨迹方程为
.
(2)由题意知直线l的斜率存在,设l的方程为
将①代入
,得l的方程为(2k2+1)x2-8k2x+(8k2-2)=0,由△>0,解得
.
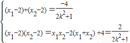
设E(x1,y1),F(x2,y2),则
令λ=
,且0<λ<1.
由②得,
,
∴
,即
∵
,且
,∴
,且
.
解得
,且
,∵0<λ<1,∴
且
.
∴△OBE与△OBF面积之比的取值范围是
.
点评:本题综合考查椭圆的性质及其应用,难度较大.在解题时要认真审题,仔细解答.
(2)设l的方程为
解答:解:解:(1)、设M(x,y),∵
整理得动点M的轨迹方程为
(2)由题意知直线l的斜率存在,设l的方程为
将①代入
设E(x1,y1),F(x2,y2),则
令λ=
由②得,
∴
∵
解得
∴△OBE与△OBF面积之比的取值范围是
点评:本题综合考查椭圆的性质及其应用,难度较大.在解题时要认真审题,仔细解答.
练习册系列答案
相关题目