题目内容
直线
与曲线
相切,则
的值为 .
【答案】
-3
【解析】
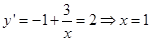
试题分析:由
得
,得切点为
,代入切线得
.
考点:利用导数求切线方程.
练习册系列答案
相关题目
题目内容
直线
与曲线
相切,则
的值为 .
-3
【解析】
试题分析:由
得
,得切点为
,代入切线得
.
考点:利用导数求切线方程.