ÌâÄ¿ÄÚÈÝ
Óæ³¡ÖÐÓãȺµÄ×î´óÑøÖ³Á¿Îªm¶Ö£¬Îª±£Ö¤ÓãȺµÄÉú³¤¿Õ¼ä£¬Êµ¼ÊÑøÖ³Á¿²»ÄÜ´ïµ½×î´óÑøÖ³Á¿£¬±ØÐëÁôÒ²Êʵ±µÄ¿ÕÏÐÁ¿£®ÒÑÖªÓãȺµÄÄêÔö³¤Á¿y¶ÖºÍʵ¼ÊÑøÖ³Á¿x¶ÖÓë¿ÕÏÐÂʵij˻ý³ÉÕý±È£¬±ÈÀýϵÊýΪk£¨k£¾0£©£®£¨¿ÕÏÐÂÊΪ¿ÕÏÐÁ¿Óë×î´óÑøÖ³Á¿µÄ±ÈÖµ£©£®£¨1£©Ð´³öy¹ØÓÚxµÄº¯Êý¹ØÏµÊ½£¬²¢Ö¸³öÕâ¸öº¯ÊýµÄ¶¨ÒåÓò£»
£¨2£©ÇóÓãȺÄêÔö³¤Á¿µÄ×î´óÖµ£»
£¨3£©µ±ÓãȺµÄÄêÔö³¤Á¿´ïµ½×î´óֵֵʱ£¬ÇókµÄȡֵ·¶Î§£®
¡¾´ð°¸¡¿·ÖÎö£º£¨1£©ÓÉÓãȺµÄÄêÔö³¤Á¿y¶ÖºÍʵ¼ÊÑøÖ³Á¿x¶ÖÓë¿ÕÏÐÂʵij˻ý³ÉÕý±È£¬±ÈÀýϵÊýΪk£¨k£¾0£©£®ÎÒÃǸù¾ÝÌâÒâÇó³ö¿ÕÏÐÂÊ£¬¼´¿ÉµÃµ½y¹ØÓÚxµÄº¯Êý¹ØÏµÊ½£¬²¢Ö¸³öÕâ¸öº¯ÊýµÄ¶¨ÒåÓò£»
£¨2£©ÓÉ£¨1£©Öиø³öµÄy¹ØÓÚxµÄº¯Êý¹ØÏµÊ½£¬ÎÒÃÇʹÓÃÅä·½·¨£¬Ò×·ÖÎö³öÓãȺÄêÔö³¤Á¿µÄ×î´óÖµ£»
£¨3£©ÓÉ£¨2£©µÄ½áÂÛ£¬ÎÒÃǿɹ¹Ôì³öÒ»¸ö¹ØÓÚkµÄº¬²ÎÊýmµÄ²»µÈʽ£¬¸ù¾ÝmµÄȡֵ·¶Î§£¬½â²»µÈʽºó¼´¿ÉÇó³ökµÄȡֵ·¶Î§£®
½â´ð£º½â£º£¨1£©ÓÉÌâÒ⣬¿ÕÏÐÂÊΪ 1-
£¬
¡ày=kx£¨1-
£©£¬¶¨ÒåÓòΪ£¨0£¬m£©£»
£¨2£©ÓÉ£¨1£©µÃ
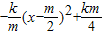
y=kx£¨1-
£©=
£¬
ÒòΪ x¡Ê£¨0£¬m£©£¬k£¾0£»
ËùÒÔµ±x=
ʱ£¬
£¨3£©ÓÉÌâÒâÓÐ 0£¼x+y£¼m
¼´£º0£¼
£¼m
ÒòΪm£¾0£¬½âµÃ-2£¼k£¼2
ÓÖk£¾0
¹ÊkµÄȡȡֵ·¶Î§Îª£¨0£¬2£©£®
µãÆÀ£ºº¯ÊýµÄʵ¼ÊÓ¦ÓÃÌ⣬ÎÒÃÇÒª¾¹ýÎöÌâ¡ú½¨Ä£¡ú½âÄ£¡ú»¹ÔËĸö¹ý³Ì£¬ÔÚ½¨Ä£Ê±Òª×¢Òâʵ¼ÊÇé¿ö¶Ô×Ô±äÁ¿xȡֵ·¶Î§µÄÏÞÖÆ£¬½âģʱҲҪʵ¼ÊÎÊÌâʵ¼Ê¿¼ÂÇ£®½«Êµ¼ÊµÄ×î´ó£¨Ð¡£©»¯ÎÊÌ⣬ÀûÓú¯ÊýÄ£ÐÍ£¬×ª»¯ÎªÇóº¯ÊýµÄ×î´ó£¨Ð¡£©ÊÇ×îÓÅ»¯ÎÊÌâÖУ¬×î³£¼ûµÄ˼·֮һ£®
£¨2£©ÓÉ£¨1£©Öиø³öµÄy¹ØÓÚxµÄº¯Êý¹ØÏµÊ½£¬ÎÒÃÇʹÓÃÅä·½·¨£¬Ò×·ÖÎö³öÓãȺÄêÔö³¤Á¿µÄ×î´óÖµ£»
£¨3£©ÓÉ£¨2£©µÄ½áÂÛ£¬ÎÒÃǿɹ¹Ôì³öÒ»¸ö¹ØÓÚkµÄº¬²ÎÊýmµÄ²»µÈʽ£¬¸ù¾ÝmµÄȡֵ·¶Î§£¬½â²»µÈʽºó¼´¿ÉÇó³ökµÄȡֵ·¶Î§£®
½â´ð£º½â£º£¨1£©ÓÉÌâÒ⣬¿ÕÏÐÂÊΪ 1-
¡ày=kx£¨1-
£¨2£©ÓÉ£¨1£©µÃ
y=kx£¨1-
ÒòΪ x¡Ê£¨0£¬m£©£¬k£¾0£»
ËùÒÔµ±x=
£¨3£©ÓÉÌâÒâÓÐ 0£¼x+y£¼m
¼´£º0£¼
ÒòΪm£¾0£¬½âµÃ-2£¼k£¼2
ÓÖk£¾0
¹ÊkµÄȡȡֵ·¶Î§Îª£¨0£¬2£©£®
µãÆÀ£ºº¯ÊýµÄʵ¼ÊÓ¦ÓÃÌ⣬ÎÒÃÇÒª¾¹ýÎöÌâ¡ú½¨Ä£¡ú½âÄ£¡ú»¹ÔËĸö¹ý³Ì£¬ÔÚ½¨Ä£Ê±Òª×¢Òâʵ¼ÊÇé¿ö¶Ô×Ô±äÁ¿xȡֵ·¶Î§µÄÏÞÖÆ£¬½âģʱҲҪʵ¼ÊÎÊÌâʵ¼Ê¿¼ÂÇ£®½«Êµ¼ÊµÄ×î´ó£¨Ð¡£©»¯ÎÊÌ⣬ÀûÓú¯ÊýÄ£ÐÍ£¬×ª»¯ÎªÇóº¯ÊýµÄ×î´ó£¨Ð¡£©ÊÇ×îÓÅ»¯ÎÊÌâÖУ¬×î³£¼ûµÄ˼·֮һ£®
Á·Ï°²áϵÁдð°¸
Ïà¹ØÌâÄ¿