题目内容
抛物线C:y=ax2的准线为y=(1)求a的值;
(2)求P点的轨迹.
【答案】分析:(1)根据抛物线的准线方程确定抛物线方程,即可求得a的值;
(2)先求出切线方程,得出A,B的坐标,利用|AB|=1,可得轨迹方程,从而可得P点的轨迹.
解答:解:(1)由已知:抛物线的准线为y=
,
∴
,∴p=1…(2分)
∴抛物线为x2=2y即
,
∴
…(5分)
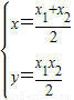
(2)设
∵
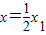
,∴y′=x,∴kPM=x1
直线PM:
,即
令y=0得
即
同理PN:
,
…(9分)
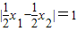
由
得
∵|AB|=1,∴
,∴
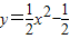
∴(2x)2-8y=4即
…(12分)
∴P的轨迹方程为
,轨迹是一条抛物线 …(13分)
点评:本题考查抛物线方程,考查抛物线的切线方程,考查学生的计算能力,属于中档题.
(2)先求出切线方程,得出A,B的坐标,利用|AB|=1,可得轨迹方程,从而可得P点的轨迹.
解答:解:(1)由已知:抛物线的准线为y=
∴
∴抛物线为x2=2y即
∴
(2)设
∵
直线PM:
令y=0得
同理PN:
由
∵|AB|=1,∴
∴(2x)2-8y=4即
∴P的轨迹方程为
点评:本题考查抛物线方程,考查抛物线的切线方程,考查学生的计算能力,属于中档题.
练习册系列答案
相关题目