题目内容
(理科做)已知函数f(x)=lnx-a2x2+ax(a≥0).(1)当a=1时,证明函数f(x)只有一个零点;
(2)若函数f(x)在区间(1,+∞)上是减函数,求实数a的取值范围.
【答案】分析:(1)把a=1代入函数,利用导数判断出函数的单调性求出最值,判断出最值的符号,然后分区间讨论可得到零点的个数.
(2)方法一:对参数a进行讨论,然后利用导数f′(x)≤0(注意函数的定义域)来解答,方法一是先解得单调减区间A,再与已知条件中的减区间(1,+∞)比较,即只需要(1,+∞)⊆A即可解答参数的取值范围;
方法二是要使函数f(x)在区间(1,+∞)上是减函数,我们可以转化为f′(x)≤0在区间(1,+∞)上恒成立的问题来求解,然后利用二次函数的单调区间于对称轴的关系来解答也可达到目标.
解答:解:(1)当a=1时,f(x)=lnx-x2+x,其定义域是(0,+∞)
∴
…(2分)
令f′(x)=0,即
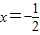
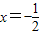
=0,解得
或x=1.∵x>0,
∴
舍去.
当0<x<1时,f′(x)>0;当x>1时,f′(x)<0.
∴函数f(x)在区间(0,1)上单调递增,在区间(1,+∞)上单调递减
∴当x=1时,函数f(x)取得最大值,其值为f(1)=ln1-12+1=0.
当x≠1时,f(x)<f(1),即f(x)<0.
∴函数f(x)只有一个零点. …(7分)
(2)显然函数f(x)=lnx-a2x2+ax的定义域为是(0,+∞)
∴
=
…(8分)
1当a=0时,
,∴f(x)在区间(1,+∞)上为增函数,不合题意 …(9分)
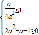
2 当a>0时,f′(x)≤0(x>0)等价于(2ax+1)(ax-1)≥0(x>0),即
此时f(x)的单调递减区间为[
,+∞).
依题意,得
,解之得a≥1. …(11分)
综上,实数a的取值范围是[1,+∞) …(14分)
法二:
①当a=0时,
,∴f(x)在区间(1,+∞)上为增函数,不合题意…(9分)
②当a≠0时,要使函数f(x)在区间(1,+∞)上是减函数,只需f′(x)≤0在区间(1,+∞)上恒成立,
∵x>0,∴只要2a2x2-ax-1≥0,且a>0时恒成立,
∴
解得a≥1
综上,实数a的取值范围是[1,+∞) …(14分)
点评:本题考查函数的零点的存在性定理,综合利用函数的导数来解决有关函数的单调性、最值等问题的能力,考查已知函数的单调性的条件下怎样求解参数的范围问题;本题始终围绕参数a来设计问题,展开问题的讨论,应用的工具就是函数的导数,这是现在高考的热点,同样也是难点,对参数的把握最能体现学生的能力与水平;本题还综合考查了分类讨论,函数与方程,配方法等数学思想与方法.
(2)方法一:对参数a进行讨论,然后利用导数f′(x)≤0(注意函数的定义域)来解答,方法一是先解得单调减区间A,再与已知条件中的减区间(1,+∞)比较,即只需要(1,+∞)⊆A即可解答参数的取值范围;
方法二是要使函数f(x)在区间(1,+∞)上是减函数,我们可以转化为f′(x)≤0在区间(1,+∞)上恒成立的问题来求解,然后利用二次函数的单调区间于对称轴的关系来解答也可达到目标.
解答:解:(1)当a=1时,f(x)=lnx-x2+x,其定义域是(0,+∞)
∴
令f′(x)=0,即
∴
当0<x<1时,f′(x)>0;当x>1时,f′(x)<0.
∴函数f(x)在区间(0,1)上单调递增,在区间(1,+∞)上单调递减
∴当x=1时,函数f(x)取得最大值,其值为f(1)=ln1-12+1=0.
当x≠1时,f(x)<f(1),即f(x)<0.
∴函数f(x)只有一个零点. …(7分)
(2)显然函数f(x)=lnx-a2x2+ax的定义域为是(0,+∞)
∴
1当a=0时,
2 当a>0时,f′(x)≤0(x>0)等价于(2ax+1)(ax-1)≥0(x>0),即
此时f(x)的单调递减区间为[
依题意,得
综上,实数a的取值范围是[1,+∞) …(14分)
法二:
①当a=0时,
②当a≠0时,要使函数f(x)在区间(1,+∞)上是减函数,只需f′(x)≤0在区间(1,+∞)上恒成立,
∵x>0,∴只要2a2x2-ax-1≥0,且a>0时恒成立,
∴
综上,实数a的取值范围是[1,+∞) …(14分)
点评:本题考查函数的零点的存在性定理,综合利用函数的导数来解决有关函数的单调性、最值等问题的能力,考查已知函数的单调性的条件下怎样求解参数的范围问题;本题始终围绕参数a来设计问题,展开问题的讨论,应用的工具就是函数的导数,这是现在高考的热点,同样也是难点,对参数的把握最能体现学生的能力与水平;本题还综合考查了分类讨论,函数与方程,配方法等数学思想与方法.
练习册系列答案
相关题目