题目内容
设等差数列{an}的前n项和为Sn,且S4=4S2,a2n=2a n+1.(Ⅰ)求数列{an}的通项公式;
(Ⅱ)证明:对一切正整数n,有
【答案】分析:(Ⅰ)设等差数列{an}的公差为d,可得关于d和a1的方程组,解之代入通项公式可得;(Ⅱ)可得
=
(
-
),裂项相消可得
原式=
(1-
),由放缩法可得答案.
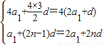
解答:解:(Ⅰ)设等差数列{an}的公差为d,
则
,解得
故数列{an}的通项公式为:an=2n-1,n∈N*.…(6分)
(Ⅱ)∵
=
=
(
-
),
∴
+…+
=
[(1-
)+(
-
)+…+(
-
)]
=
(1-
)<
.…(12分)
点评:本题考查等差数列的通项公式和求和公式,涉及裂项相消法求数列的和,属中档题.
原式=
解答:解:(Ⅰ)设等差数列{an}的公差为d,
则
故数列{an}的通项公式为:an=2n-1,n∈N*.…(6分)
(Ⅱ)∵
∴
=
=
点评:本题考查等差数列的通项公式和求和公式,涉及裂项相消法求数列的和,属中档题.
练习册系列答案
相关题目