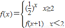
题目内容
已知函数
【答案】分析:根据题意首先求出log23的范围为(1,2),然后结合函数的解析式可得f(log23)=f(1+log23)=
=
.
解答:解:由题意可得:1<log23<2,
因为函数
,
所以f(log23)=f(1+log23)=
=
.
故答案为
.
点评:解决此类问题的关键是熟练掌握对数与指数的有关运算,并且加以正确的计算.
解答:解:由题意可得:1<log23<2,
因为函数
所以f(log23)=f(1+log23)=
故答案为
点评:解决此类问题的关键是熟练掌握对数与指数的有关运算,并且加以正确的计算.
练习册系列答案
相关题目