题目内容
在△ABC中,内角A,B,C的对边分别为a,b,c,已知
,
(Ⅰ)求
的值;
(Ⅱ)若cosB=
,△ABC的周长为5,求b的长。
(Ⅰ)求
(Ⅱ)若cosB=
解:(Ⅰ)由正弦定理得a=2RsinA,b=2RsinB,c=2RsinC,
所以
=
,
即
,
即有
,即sinC=2sinA,
所以
=2。
(Ⅱ)由(Ⅰ)知
=2,所以有
,即c=2a,
又因为△ABC的周长为5,所以b=5-3a,
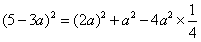
由余弦定理得:
,
即
,
解得a=1,所以b=2。
所以
即
即有
所以
(Ⅱ)由(Ⅰ)知
又因为△ABC的周长为5,所以b=5-3a,
由余弦定理得:
即
解得a=1,所以b=2。
练习册系列答案
相关题目