题目内容
某连锁经营公司所属5个零售店某月的销售额和利润额资料如下表| 商店名称 | A | B | C | D | E |
| 销售额x(千万元) | 3 | 5 | 6 | 7 | 9 |
| 利润额y(百万元) | 2 | 3 | 3 | 4 | 5 |
(2)用最小二乘法计算利润额y对销售额x的回归直线方程.
(3)当销售额为4(千万元)时,估计利润额的大小.
【答案】分析:(1)画出散点图如图;
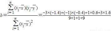
(2)先求出x,y的均值,再由公式
=
,
=
-
计算出系数的值,即可求出线性回归方程;
(3)将零售店某月销售额为4千万元代入线性回归方程,计算出y的值,即为此月份该零售点的估计值.
解答:解:(1:(1)根据所给的五组数据,得到五个有序数对,在平面直角坐标系中画出点,得到散点图.
:(I)散点图(3分)

(五个点中,有错的,不能得(2分),有两个或两个以上对的,至少得1分)
两个变量符合正相关 …(3分)
(2)设回归直线的方程是:
,
;…(4分)
∴
=
…(6分)
a=0.4
∴y对销售额x的回归直线方程为:y=0.5x+0.4…(7分)
(3)当销售额为4(千万元)时,利润额为:
=2.4(百万元) …(8分)
点评:本题考查线性回归方程,解题的关键是掌握住线性回归方程中系数的求法公式及线性回归方程的形式,按公式中的计算方法求得相关的系数,得出线性回归方程,本题考查了公式的应用能力及计算能力,求线性回归方程运算量较大,解题时要严谨,莫因为计算出错导致解题失败.
(2)先求出x,y的均值,再由公式
(3)将零售店某月销售额为4千万元代入线性回归方程,计算出y的值,即为此月份该零售点的估计值.
解答:解:(1:(1)根据所给的五组数据,得到五个有序数对,在平面直角坐标系中画出点,得到散点图.
:(I)散点图(3分)
(五个点中,有错的,不能得(2分),有两个或两个以上对的,至少得1分)
两个变量符合正相关 …(3分)
(2)设回归直线的方程是:
∴
a=0.4
∴y对销售额x的回归直线方程为:y=0.5x+0.4…(7分)
(3)当销售额为4(千万元)时,利润额为:
点评:本题考查线性回归方程,解题的关键是掌握住线性回归方程中系数的求法公式及线性回归方程的形式,按公式中的计算方法求得相关的系数,得出线性回归方程,本题考查了公式的应用能力及计算能力,求线性回归方程运算量较大,解题时要严谨,莫因为计算出错导致解题失败.
练习册系列答案
相关题目
某连锁经营公司所属5个零售店某月的销售额和利润额资料如下表
(1)画出散点图.观察散点图,说明两个变量有怎样的相关性.
(2)用最小二乘法计算利润额y对销售额x的回归直线方程.
(3)当销售额为4(千万元)时,估计利润额的大小.
| 商店名称 | A | B | C | D | E |
| 销售额x(千万元) | 3 | 5 | 6 | 7 | 9 |
| 利润额y(百万元) | 2 | 3 | 3 | 4 | 5 |
(2)用最小二乘法计算利润额y对销售额x的回归直线方程.
(3)当销售额为4(千万元)时,估计利润额的大小.
某连锁经营公司所属5个零售店某月的销售额和利润额资料如下表
(1)画出销售额和利润额的散点图.
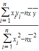
(2)若销售额和利润额具有相关关系,用最小二乘法计算利润额y对销售额x的回归直线方程y=bx+a,其中b=
,a=
-b
.
(3)若获得利润是4.5时估计销售额是多少(百万)?
| 商店名称 | A | B | C | D | E |
| 销售额(x)/千万元 | 3 | 5 | 6 | 7 | 9 |
| 利润额(y)/百万元 | 2 | 3 | 3 | 4 | 5 |
(2)若销售额和利润额具有相关关系,用最小二乘法计算利润额y对销售额x的回归直线方程y=bx+a,其中b=
| |||||||
|
. |
| y |
. |
| x |
(3)若获得利润是4.5时估计销售额是多少(百万)?