题目内容
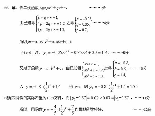
(12分)某工厂今年1月、2月、3月生产某种产品的数量分别为l万件,1.2万件,1.3万件.为了估测以后每个月的产量,以这三个月的产品数量为依据.用一个函数模拟该产品的月产量y与月份x的关系,模拟函数可以选用二次函数或函数
(其中a,b,c为常数).已知4月份该产品的产量为1.37万件,请问用以上哪个函数作为模拟函数较好.并说明理由.
答案
![]()
![]()
练习册系列答案
相关题目
题目内容
(12分)某工厂今年1月、2月、3月生产某种产品的数量分别为l万件,1.2万件,1.3万件.为了估测以后每个月的产量,以这三个月的产品数量为依据.用一个函数模拟该产品的月产量y与月份x的关系,模拟函数可以选用二次函数或函数
(其中a,b,c为常数).已知4月份该产品的产量为1.37万件,请问用以上哪个函数作为模拟函数较好.并说明理由.
答案
![]()
![]()