ÌâÄ¿ÄÚÈÝ

Á½ÏسÇAºÍBÏà¾à20km£¬Ïּƻ®ÔÚÁ½ÏسÇÍâÒÔABΪֱ¾¶µÄ°ëÔ²»¡ÉÏÑ¡ÔñÒ»µãC½¨ÔìÀ¬»øÀí³§£¬Æä¶Ô³ÇÊеÄÓ°Ïì¶ÈÓëËùÑ¡µØµãµ½³ÇÊеľàÀëÓйأ¬¶Ô³ÇAºÍ³ÇBµÄ×ÜÓ°Ïì¶ÈΪ¶Ô³ÇAÓë¶Ô³ÇBµÄÓ°Ïì¶ÈÖ®ºÍ£¬¼ÇµãCµ½³ÇAµÄ¾àÀëxkm£¬½¨ÔÚC´¦µÄÀ¬»ø´¦Àí³§¶Ô³ÇBµÄÓ°Ïì¶ÈΪy£¬Í³¼Æµ÷²é±íÃ÷£»À¬»ø´¦Àí³§¶Ô³ÇAµÄÓ°Ïì¶ÈÓëËùÑ¡µØµãµ½³ÇBµÄƽ·½³É·´±È£¬±ÈÀýϵÊýΪ4£»³ÇBµÄÓ°Ïì¶ÈÓëËùÑ¡µØµãµ½³ÇBµÄ¾àÀëµÄƽ·½³É·´±È£¬±ÈÀýϵÊýΪk£¬µ±À¬»ø´¦Àí³§½¨ÔÚ»¡µÄÖеãʱ£¬¶Ô³ÇAºÍ³ÇB£¬×ÜÓ°Ïì¶ÈΪ0.065¡£
£¨1£©½«y±íʾ³ÉxµÄº¯Êý£»
£¨2£©ÌÖÂÛ£¨1£©Öк¯ÊýµÄµ¥µ÷ÐÔ£¬²¢Åжϻ¡ÉÏÊÇ·ñ´æÔÚÒ»µã£¬Ê¹½¨ÔÚ´Ë´¦µÄÀ¬»ø´¦Àí³§¶Ô³ÇAºÍ³ÇBµÄ×ÜÓ°Ïì¶È×îС£¿Èô´æÔÚ£¬Çó³ö¸Ãµã³ÇAµÄ¾àÀ룻Èô²»´æÔÚ£¬ËµÃ÷ÀíÓÉ¡£
½â£º£¨1£©Èçͼ£¬ÓÉÌâÒâÖªAC¡ÍBC£¬BC2=400-x2£¬y=+
ÆäÖе±x=10ʱ£¬y=0.065£¬ËùÒÔk=9
ËùÒÔy±íʾ³ÉxµÄº¯ÊýΪ£»
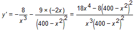
£¨2£©y=£¬Ôò
Áîy'=0µÃ18x4=8£¨400-x2£©2
ËùÒÔx2=160£¬¼´x=
µ±0£¼x£¼4ʱ£¬18x4£¼8£¨400-x2£©2£¬¼´y'£¼0ËùÒÔº¯ÊýΪµ¥µ÷¼õº¯Êý£»
µ±Ê±£¬18x4£¾8£¨400-x2£©2£¬¼´y'£¾0ËùÒÔº¯ÊýΪµ¥µ÷Ôöº¯Êý¡£
É裬Ôò
¡à
µ±ÇÒ½öµ±£¬¼´Ê±µÈºÅ³ÉÁ¢
¡àµ±m=160£¬¼´Ê±£¬È¡¡°=¡±£¬º¯ÊýyÓÐ×îСֵ
¡à»¡ÉÏ´æÔÚÒ»µã£¬µ±x=4kmʱʹ½¨ÔÚ´Ë´¦µÄÀ¬»ø´¦Àí³§¶Ô³ÇAºÍ³ÇBµÄ×ÜÓ°Ïì¶È×îС¡£
Á·Ï°²áϵÁдð°¸
Ïà¹ØÌâÄ¿

Î¥·¨ºÍ²»Á¼ÐÅÏ¢¾Ù±¨µç»°£º027-86699610 ¾Ù±¨ÓÊÏ䣺58377363@163.com

¾«Ó¢¼Ò½ÌÍø