题目内容
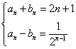
已知数列{an},{bn}满足a1=2,b1=1,且
。
(1)令cn=an+bn,求数列{cn}的通项公式;
(2)求数列{an}的通项公式及前n项和公式Sn。
(1)令cn=an+bn,求数列{cn}的通项公式;
(2)求数列{an}的通项公式及前n项和公式Sn。
解:(1)由题设得
,
即
易知{cn}是首项为a1+b1=3,公差为2的等差数列,通项公式为
。
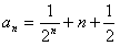
(2)由题设得
,
令
,
则
已知{dn}是首项为a1-b1=1,公比为2的等差数列,其通项公式为
由
整理
求和得
。
即
易知{cn}是首项为a1+b1=3,公差为2的等差数列,通项公式为
(2)由题设得
令
则
已知{dn}是首项为a1-b1=1,公比为2的等差数列,其通项公式为
由
求和得
练习册系列答案
相关题目