题目内容
已知数列{an}是公差为2的等差数列,且a1+1,a3+1,a7+1成等比数列.(Ⅰ)求数列{an}的通项公式;
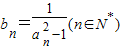
(Ⅱ)令
【答案】分析:(I)由于数列{an}是公差为2的等差数列,且a1+1,a3+1,a7+1成等比数列,设该数列的首项为a1,利用条件建立方程即可求解;
(II)由(I)可知an的式子,再有
,求出bn的通项公式为:
,此通项公式为分式且分母属于等差数列的相邻两项,应选择裂项相消的求和方法.
解答:解:(I)设等差数列{an}的首项为a1,因为a1+1,a3+1,a7+1成等比数列,所以有
(a3+1)2=(a1+1)(a7+1),即(a1+5)2=(a1+1)(a1+13),
解得:a1=3,所以an=3+2(n-1)=2n+1;
(II)证明:由(I)知:an=2n+1,所以
=
,
所以
=
=
.
点评:此题考查了利用条件建立方程并求出方程,等差数列与等比数列的定义,裂项相消的求和方法.
(II)由(I)可知an的式子,再有
解答:解:(I)设等差数列{an}的首项为a1,因为a1+1,a3+1,a7+1成等比数列,所以有
(a3+1)2=(a1+1)(a7+1),即(a1+5)2=(a1+1)(a1+13),
解得:a1=3,所以an=3+2(n-1)=2n+1;
(II)证明:由(I)知:an=2n+1,所以
所以
点评:此题考查了利用条件建立方程并求出方程,等差数列与等比数列的定义,裂项相消的求和方法.
练习册系列答案
相关题目