题目内容
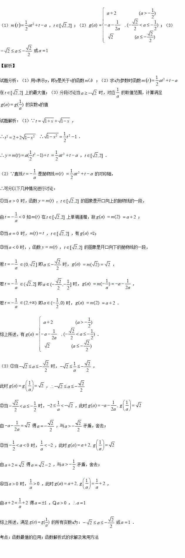
(本小题满分14分)函数(),设().
(1)试把表示成关于的函数;
(2)把函数的最大值记为,求;
(3)当时,试求满足的所有实数的值.
设0<θ<,向量=(sin2θ,cosθ),=(1,-cosθ),若,则tanθ= .
等比数列中,已知,则n为( )
A.3 B.4 C.5 D.6
(本小题满分12分)已知正项数列的首项为,前项和为满足.
(1)求证:为等差数列,并求数列的通项公式;
(2)记数列的前项和为,若对任意的,不等式恒成立 ,求实数的取值范围.
(本小题满分12分)某学校1800名学生在一次一百米测试中,全部介于13秒与18秒之间,抽取其中的50个样本,将测试结果按如下方式分成五组,第一组,第二组,第三组,…,第五组,下图是按上述分组方法得到的频率分布直方图.
(1)若成绩小于15秒认为良好,求该样本在这在这次百米测试中成绩良好的人数;
(2)请估计学校1800名学生中,成绩属于第四组的人数;
(3)请根据频率分布直方图,求样本数据的众数与平均数;
(4)请根据频率分布直方图,求样本数据的中位数.(保留两小数)
如果集合A={x|ax2+2x+1=0}中只有一个元素,则a的值是( )
A.0 B.0 或1 C.1 D.不能确定
如图,与圆相切于点,直线交圆于两点,弦垂直于.则下面结论中,错误的结论是( )
A.∽△DEA B.∠ACE=∠ACP
C. D.
若,则下列不等式中不成立的是( )
A. B. C. D.
已知是圆心在坐标原点的单位圆上的两点,分别位于第一象限和第四象限,且 点的纵坐标为,点的横坐标为,则 .