题目内容
某种产品的广告费支出x与销售额Y(单位:百万元)之间有如下对应数据:
| x | 2 | 4 | 5 | 6 | 8 |
| Y | 30 | 40 | 60 | 50 | 70 |
(1)画出散点图;
(2)求回归直线方程;
(3)试预测广告费支出为10百万元时,销售额
多大?
(1)根据表中所列数据可得散点图如下:
![]()
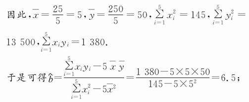
(2)列出下表,并用科学计算器进行有关计算.
| i | 1 | 2 | 3 | 4 | 5 |
| xi | 2 | 4 | 5 | 6 | 8 |
| yi | 30 | 40 | 60 | 50 | 70 |
| xiyi | 60 | 160 | 300 | 300 | 560 |
![]()
=
-![]()
=50-6.5×5
=17.5,因此,所求回归直线方程是
=6.5x+17.5.
(3)据上面求得的回归直线方程,当广告费支出为10百万元时,
=6.5×10+17.5=82.5(百万元),
即这种产品的销售收入大约为82.5百万元.
练习册系列答案
相关题目