题目内容

已知函数.

(Ⅰ)求的最小正周期和对称中心;

(Ⅱ)若将的图像向左平移个单位后所得到的图像关于轴对称,求实数的最小值.

 

【答案】

(Ⅰ)    ; (Ⅱ).

【解析】

试题分析:(Ⅰ)这一问关键是利用倍角公式化简表达式;(Ⅱ)先利用平移得到表达式,再根据图像关于轴对称得到,解出.

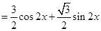
试题解析:(Ⅰ)

            3分

得,

所以最小正周期是,对称中心为.          6分

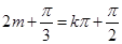
(Ⅱ)将的图像向左平移个单位后得到,           8分

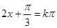
所以.因为,所以的最小值为.         12分

考点:1.倍角公式;2.图像平移;3.对称中心;4.周期;5.对称.

 

练习册系列答案
相关题目

违法和不良信息举报电话:027-86699610 举报邮箱:58377363@163.com

精英家教网