题目内容
已知函数f(x)=
x2+lnx,
(1)求函数f(x)在[1,e]上的最大值和最小值;
(2)求证:在区间[1,+∞)上,函数f(x)的图象在
的图象的下方。
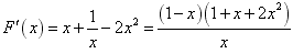
解:(1)由
,
当x∈[1,e]时,f′(x)>0,函数
单调递增,
∴
;
(2)设
,
则
,
当x∈[1,+∞)时F′(x)≤0,
函数F(x)单调递减,且
,
故x∈[1,+∞)时,F(x)<0,
,
故在区间[1,+∞)上,函数f(x)的图象在函数
的下方。
练习册系列答案
相关题目
| π |
| 2 |
A、f(x)=2sin(πx+
| ||
B、f(x)=2sin(2πx+
| ||
C、f(x)=2sin(πx+
| ||
D、f(x)=2sin(2πx+
|