搜索
题目内容
在△ABC中,内角A,B,C的对边分别为a,b,c,已知
。
(I)求
的值;
(II)若cosB=
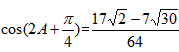
,△ABC的周长为5,求b的长,并求cos(2A+
)的值。
试题答案
相关练习册答案
解:(I)
=2;
(II)b=2;
。
练习册系列答案
金星教育中考夺冠抢分练系列答案
大中考学法大视野光明日报出版社系列答案
万唯教育中考解答题专项集训系列答案
超能学典江苏13大市中考试卷分类汇编系列答案
经纶学典江苏13大市中考试卷汇编四色卷系列答案
金榜之路中考总复习中考全真模拟封闭卷系列答案
亮点激活高分宝典系列答案
天利38套对接高考单元专题训练系列答案
最新3年中考利剑中考试卷汇编系列答案
考进名校系列答案
相关题目
(2012•天津)在△ABC中,内角A,B,C所对的边分别是a,b,c,已知a=2,c=
2
,cosA=-
2
4
.
(1)求sinC和b的值;
(2)求cos(2A+
π
3
)的值.
在△ABC中,内角A、B、C所对边长分别为a、b、c,已知a
2
-c
2
=b,且sinAcosC=3cosAsinC,则b=
2
2
.
在△ABC中,内角A,B,C的对边分别为a,b,c,且a,b是方程x
2
-2
3
x+2=0的两根,2cos(A+B)=1,则△ABC的面积为( )
A.
1
2
B.
2
2
C.
3
2
D.
3
在△ABC中,内角A,B,C所对的边分别是a,b,c.已知A=45°,a=6,b=
3
2
,则B的大小为( )
在△ABC中,内角A,B,C所对的边分别是a,b,c,已知B=60°,不等式x
2
-4x+1<0的解集为{x|a<x<c},则b=
13
13
.
关 闭
试题分类
高中
数学
英语
物理
化学
生物
地理
初中
数学
英语
物理
化学
生物
地理
小学
数学
英语
其他
阅读理解答案
已回答习题
未回答习题
题目汇总
试卷汇总
练习册解析答案