题目内容
设函数f(x)=sinxcosx-
cos(x+π)cosx(x∈R),
(Ⅰ)求f(x)的最小正周期;
(Ⅱ)若函数y=f(x)的图象按
=(
,
)平移后得到函数y=g(x)的图象,求y=g(x)在[0,
]上的最大值。
(Ⅰ)求f(x)的最小正周期;
(Ⅱ)若函数y=f(x)的图象按
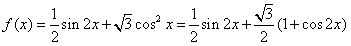
解:(Ⅰ)![]()
,
∴f(x)的最小正周期为T=
=π;
(Ⅱ)依题意得![]()
,
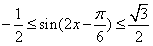
当x∈[0,
]时,
,
∴
,
∴
,
∴g(x)在[0,
]的最大值为
。
练习册系列答案
相关题目