题目内容
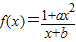
已知函数(1)求实数a,b的值;
(2)求函数f(x)的值域
【答案】分析:(1)由函数是奇函数,和函数f(x)的图象经过点(1,3),建立方程求解.
(2)由(1)知函数并转化为
,再分两种情况,用基本不等式求解.
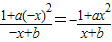
解答:解:(1)∵函数
是奇函数,则f(-x)=-f(x)
∴
,
∵a≠0,∴-x+b=-x-b,∴b=0(3分)
又函数f(x)的图象经过点(1,3),
∴f(1)=3,∴
,∵b=0,
∴a=2(6分)
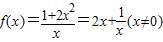
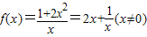
(2)由(1)知
(7分)
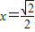
当x>0时,
,当且仅当
,
即
时取等号(10分)
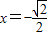
当x<0时,
,∴
当且仅当
,即
时取等号(13分)
综上可知函数f(x)的值域为
(12分)
点评:本题主要考查函数的奇偶性和单调性的应用,转化函数研究性质是问题的关键.
(2)由(1)知函数并转化为
解答:解:(1)∵函数
∴
∵a≠0,∴-x+b=-x-b,∴b=0(3分)
又函数f(x)的图象经过点(1,3),
∴f(1)=3,∴
∴a=2(6分)
(2)由(1)知
当x>0时,
即
当x<0时,
当且仅当
综上可知函数f(x)的值域为
点评:本题主要考查函数的奇偶性和单调性的应用,转化函数研究性质是问题的关键.
练习册系列答案
相关题目