题目内容

某人在一山坡P处观看对面山崖顶上的一座铁塔。如图所示,塔及所在的山崖可视为图中的竖直线OC,塔高BC=80(米),山高OB=220(米),OA=200(米),图中所示的山坡可视为直线l且点P在直线l上,l与水平地面的夹角为α,tanα=,试问,此人距山崖的水平距离多远时,观看塔的视角∠BPC最大(不计此人的身高)?

解:如图所示,建立平面直角坐标系,
则A(200,0),B(0,220),C(0,300),
直线l的方程为

设此人距山崖的水平距离为x,

由经过两点的直线的斜率公式


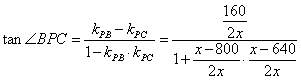
由直线PC到直线PB的角的公式得



要使tan∠BPC达到最大,
只须达到最小,
由均值不等式
当且仅当时上式取得等号,
故当x=320时tan∠BPC最大,
由此实际问题知,
所以tan∠BPC最大时,∠BPC最大,
故当此人距山崖水平距离320米高时,
观看铁塔的视角∠BPC最大。
练习册系列答案
相关题目

违法和不良信息举报电话:027-86699610 举报邮箱:58377363@163.com

精英家教网