题目内容
设A={x|x2+4x=0},B={x|x2+2(a+1)x+a2-1=0},其中x∈R,如果A∩B=B,求实数a的取值范围.
【答案】分析:先由题设条件求出集合A,再由A∩B=B,导出集合B的可能结果,然后结合根的判别式确定实数a的取值范围.
解答:解:A={x|x2+4x=0}={0,-4},
∵A∩B=B知,B⊆A,
∴B={0}或B={-4}或B={0,-4}或B=Φ,
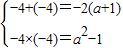
若B={0}时,x2+2(a+1)x+a2-1=0有两个相等的根0,则
,∴a=-1,
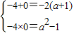
若B={-4}时,x2+2(a+1)x+a2-1=0有两个相等的根-4,则
,∴a无解,
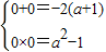
若B={0,-4}时,x2+2(a+1)x+a2-1=0有两个不相等的根0和-4,则
,∴a=1,
当B=∅时,x2+2(a+1)x+a2-1=0无实数根,△=[2(a+1)]2-4(a2-1)=8a+8<0,得a<-1,
综上:a=1,a≤-1.
点评:本题考查集合的包含关系的判断和应用,解题时要认真审题,注意公式的合理应用.
解答:解:A={x|x2+4x=0}={0,-4},
∵A∩B=B知,B⊆A,
∴B={0}或B={-4}或B={0,-4}或B=Φ,
若B={0}时,x2+2(a+1)x+a2-1=0有两个相等的根0,则
若B={-4}时,x2+2(a+1)x+a2-1=0有两个相等的根-4,则
若B={0,-4}时,x2+2(a+1)x+a2-1=0有两个不相等的根0和-4,则
当B=∅时,x2+2(a+1)x+a2-1=0无实数根,△=[2(a+1)]2-4(a2-1)=8a+8<0,得a<-1,
综上:a=1,a≤-1.
点评:本题考查集合的包含关系的判断和应用,解题时要认真审题,注意公式的合理应用.
练习册系列答案
相关题目