题目内容
已知椭圆的中心在坐标原点,离心率为(Ⅰ)求椭圆方程;
(Ⅱ)直线l过点F交椭圆于A、B两点,且
【答案】分析:(Ⅰ)设椭圆方程,确定几何量,即可得到椭圆方程;
(Ⅱ)分类讨论,设出直线方程与椭圆方程联立,利用韦达定理及向量条件,即可求得直线方程.
解答:解:(Ⅰ)设椭圆方程为
(a>b>0).
依题意,e=
=
,c=1,∴a=2,b2=a2-c2=3,
∴所求椭圆方程为
;
(Ⅱ)若直线l的斜率k不存在,则不满足
.
当直线l的斜率k存在时,设直线l的方程为y=kx+1.
因为直线l过椭圆的焦点F(0,1),所以k取任何实数,直线l与椭圆均有两个交点A、B.
设A(x1,y1),B(x2,y2),
联立方程
消去y,得(3k2+4)x2+6kx-9=0.
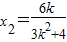
∴x1+x2=
,①x1•x2=
,②
由F(0,1),A(x1,y1),B(x2,y2),
则
,
∵
,∴(-x1,1-y1)=2(x2,y2-1),得x1=-2x2.
将x1=-2x2代入①、②,得
,③
,④
由③、④得,
,化简得
=
,
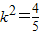
解得
,∴k=±
∴直线l的方程为:y=±
x+1.
点评:本题考查椭圆的标准方程,考查直线与椭圆的位置关系,考查向量知识,考查学生分析解决问题的能力,属于中档题.
(Ⅱ)分类讨论,设出直线方程与椭圆方程联立,利用韦达定理及向量条件,即可求得直线方程.
解答:解:(Ⅰ)设椭圆方程为
依题意,e=
∴所求椭圆方程为
(Ⅱ)若直线l的斜率k不存在,则不满足
当直线l的斜率k存在时,设直线l的方程为y=kx+1.
因为直线l过椭圆的焦点F(0,1),所以k取任何实数,直线l与椭圆均有两个交点A、B.
设A(x1,y1),B(x2,y2),
联立方程
∴x1+x2=
由F(0,1),A(x1,y1),B(x2,y2),
则
∵
将x1=-2x2代入①、②,得
由③、④得,
解得
∴直线l的方程为:y=±
点评:本题考查椭圆的标准方程,考查直线与椭圆的位置关系,考查向量知识,考查学生分析解决问题的能力,属于中档题.
练习册系列答案
相关题目