题目内容

已知圆,直线 与圆交与两点,点.

(1)当时,求的值;

(2)当时,求的取值范围.

 

【答案】

(1);(2).

【解析】

试题分析:(1)由点在圆C上且满足是直径,即直线过圆心;(2)由的取值范围,就是要建立起点与直线的关系,它们是通过点联系起来.我们可以设出两点的坐标分别为即为,一方面由可得到的关系,另一方面直线与圆C相交于点,把直线方程与圆方程联立方程组,可以得到的关系,从而建立起的关系,可求出的范围.

试题解析:(1)圆的方程可化为,故圆心为,半径....2分

时,点在圆上,又,故直线过圆心,∴   4分

从而所求直线的方程为                                 6分

(2)设

  即

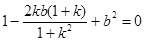
            ①                8分

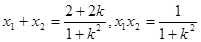
联立得方程组,化简,整理得

    .(*)

由判别式且有      10分

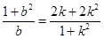
代入 ①式整理得,从而,又

可得的取值范围是  14分

考点:(1)圆周角与弦的关系;(2)直线与圆相交问题.

 

练习册系列答案
相关题目

违法和不良信息举报电话:027-86699610 举报邮箱:58377363@163.com

精英家教网