题目内容
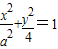
点P在椭圆A.8-4
B.4+2
C.4
D.8
【答案】分析:由
=0,可得∠F1PF2=90°即△F1PF2是以P为直角的直角三角形.根据椭圆的定义,结合勾股定理算出|PF1|•|PF2|=8,利用三角形的面积公式即得△F1PF2的面积等于4.
解答:解:根据椭圆的定义,得|PF1|+|PF2|=2a
∵
=0,可得∠F1PF2=90°
∴|F1F2|2=|PF1|2+|PF2|2,即4(a2-4)=(|PF1|+|PF2|)2-2|PF1|•|PF2|
化简得4a2-16=4a2-2|PF1|•|PF2|,可得|PF1|•|PF2|=8
因此,Rt△F1PF2的面积S=
|PF1|•|PF2|=4
故选:C
点评:本题在椭圆中求焦点三角形的面积.着重考查了勾股定理,椭圆的定义与简单几何性质等知识,属于中档题.
解答:解:根据椭圆的定义,得|PF1|+|PF2|=2a
∵
∴|F1F2|2=|PF1|2+|PF2|2,即4(a2-4)=(|PF1|+|PF2|)2-2|PF1|•|PF2|
化简得4a2-16=4a2-2|PF1|•|PF2|,可得|PF1|•|PF2|=8
因此,Rt△F1PF2的面积S=
故选:C
点评:本题在椭圆中求焦点三角形的面积.着重考查了勾股定理,椭圆的定义与简单几何性质等知识,属于中档题.
练习册系列答案
相关题目