题目内容
在(0,2π)内,使sinx>cosx成立的x的取值范围是( )A.(
,
)∪(π,
)
B.(
,π)
C.(
,
)
D.(
,π)∪(
,
)
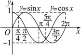
思路分析:在同一坐标系内画出正弦函数和余弦函数的图象,利用图象的高低关系解题.
![]()
在同一坐标系中作函数y=sinx,y=cosx,x∈(0,2π)的图象,如图,显然满足sinx>cosx的范围是(
,
).
答案:C
练习册系列答案
相关题目
在(0,2π)内,使sinx>cosx成立的x的取值范围是( )
A、(
| ||||||
B、(
| ||||||
C、(
| ||||||
D、(
|
在(0,2π)内,使cosx>sinx>tanx成立的x的取值范围是( )
A、(
| ||||
B、(
| ||||
C、(
| ||||
D、(
|