题目内容
对任意实数a、b,定义运算“*”:a*b=A.[0,+∞)
B.(-∞,0]
C.(log2
D.(log2
【答案】分析:根据所给定义表示出f(x),求出分段函数在各段的值域再求其并集即可.
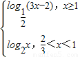
解答:解:由定义得f(x)=
,
当x≥1时,f(x)≤f(1)=0;当
<x<1时,
=f(
)<f(x)<f(1)=0,
所以函数f(x)的值域为(-∞,0],
故选B.
点评:本题考查对数函数的值域求解,考查学生解决新问题的能力,属中档题.
解答:解:由定义得f(x)=
当x≥1时,f(x)≤f(1)=0;当
所以函数f(x)的值域为(-∞,0],
故选B.
点评:本题考查对数函数的值域求解,考查学生解决新问题的能力,属中档题.
练习册系列答案
相关题目