题目内容
已知函数f(x)=x-4+A.
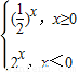
B.
C.
D.
【答案】分析:由f(x)=x-4+
=x+1+
,利用基本不等式可求f(x)的最小值及最小值时的条件,可求a,b,可得g(x)=
=
,结合指数函数的性质及函数的图象的平移可求
解答:解:∵x∈(0,4),
∴x+1>1
∴f(x)=x-4+
=x+1+
=1
当且仅当x+1=
即x=2时取等号,此时函数有最小值1
∴a=2,b=1,
此时g(x)=
=
,
此函数可以看着函数y=
的图象向左平移1个单位
结合指数函数的图象及选项可知B正确
故选B
点评:本题主要考察了基本不等式在求解函数的最值中的应用,指数函数的图象及函数的平移的应用是解答本题的关键
解答:解:∵x∈(0,4),
∴x+1>1
∴f(x)=x-4+
当且仅当x+1=
∴a=2,b=1,
此时g(x)=
此函数可以看着函数y=
结合指数函数的图象及选项可知B正确
故选B
点评:本题主要考察了基本不等式在求解函数的最值中的应用,指数函数的图象及函数的平移的应用是解答本题的关键
练习册系列答案
相关题目
| π |
| 2 |
A、f(x)=2sin(πx+
| ||
B、f(x)=2sin(2πx+
| ||
C、f(x)=2sin(πx+
| ||
D、f(x)=2sin(2πx+
|