搜索
题目内容
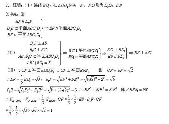
如图所示,在棱长为2的正方体
中,
、
分别为
、
的中点.
(Ⅰ)求证:
//平面
;
(Ⅱ)求证:
;
(Ⅲ)求三棱锥
的体积.
试题答案
相关练习册答案
练习册系列答案
应用题小状元应用题通关训练系列答案
考前小综合60练系列答案
考前专项分类高效检测系列答案
天天练口算系列答案
海东青跟踪测试系列答案
师说中考系列答案
中考酷题酷卷系列答案
初三中考总复习系列答案
高分攻略系列答案
小学升初中重点学校考前突破密卷系列答案
相关题目
如图所示,在棱长为2的正方体ABCD-A
1
B
1
C
1
D
1
中,E,F分别为DD
1
、DB的中点.
(Ⅰ)求证:EF∥平面ABC
1
D
1
;
(Ⅱ)求证:EF⊥B
1
C.
17、如图所示,在棱长为2的正方体ABCD-A
1
B
1
C
1
D
1
中,E,F分别为DD
1
,DB的中点
(1)求证:EF∥平面ABC
1
D
1
;
(2)求二面角B
1
-EF-C的大小.
如图所示,在棱长为2的正方体中,E、F分别为DD
1
、BD的中点.
(1)求证:EF∥面ABC
1
D
1
(2)求证EF∥BD
1
.
(3)求三棱锥
V
B
1
-EFC
的体积.
如图所示,在棱长为2的正方体ABCD-A
1
B
1
C
1
D
1
中,E、F分别为DD
1
、DB的中点.
(I)求证:EF⊥B
1
C;
(II)求二面角E-FC-D的正切值;
(III)求三棱锥F-EDC的体积.
(2012•虹口区三模)如图所示,在棱长为2的正方体ABCD-A
1
B
1
C
1
D
1
中,E、F分别为DD
1
、DB的中点.
(Ⅰ)求证:CF⊥B
1
E;
(Ⅱ)求三棱锥
V
B
1
-EFC
的体积.
关 闭
试题分类
高中
数学
英语
物理
化学
生物
地理
初中
数学
英语
物理
化学
生物
地理
小学
数学
英语
其他
阅读理解答案
已回答习题
未回答习题
题目汇总
试卷汇总
练习册解析答案