题目内容
设f(x)=3ax2+2bx+c(a≠0),若a+b+c=0,f(0)f(1)>0,求证:(1)方程f(x)=0有实数根;
(2)-2<
(3)设x1,x2是方程f(x)=0的两个实数根,则
【答案】分析:(1)根据已知中a+b+c=0,利用配方法求出二次方程f(x)=0的△>0,即可判断出方程f(x)=0有实数根;
(2)由a+b+c=0,f(0)f(1)>0,我们可构造关于
的不等式,解不等式可得)-2<
<-1;
(3)当x1,x2是方程f(x)=0的两个实数根时,根据韦达定理我们可以求出,
=
的范围,开方后可得
≤|x1-x2|
.
解答:解:(1)∵a≠0,a+b+c=0,a+c=-b,
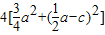
∴△=4b2-12ac=4(a+c)2-12ac=
>0
f(x)=3ax2+2bx+c=0有实数根,--(4分)
(2)由f(0)f(1)>0,得c(3a+2b+c)>0
∵a+b+c=0,
∴c=-(a+b),
∴-(a+b)•(2a+b)>0,
∴
>0,
∴
解得-2<
<-1----------(9分)
(3)∵x1,x2是方程f(x)=0的两个实数根,
∴
,
∴
=
=
-4(
)
=
∵-2<
<-1
∴
<
<
∴
≤|x1-x2|
.--------(15分)
点评:本题考查的知识点是二次函数的性质,方程的根,韦达定理,是函数、方程与不等式之间相互关系的典型例题.
(2)由a+b+c=0,f(0)f(1)>0,我们可构造关于
(3)当x1,x2是方程f(x)=0的两个实数根时,根据韦达定理我们可以求出,
解答:解:(1)∵a≠0,a+b+c=0,a+c=-b,
∴△=4b2-12ac=4(a+c)2-12ac=
f(x)=3ax2+2bx+c=0有实数根,--(4分)
(2)由f(0)f(1)>0,得c(3a+2b+c)>0
∵a+b+c=0,
∴c=-(a+b),
∴-(a+b)•(2a+b)>0,
∴
∴
解得-2<
(3)∵x1,x2是方程f(x)=0的两个实数根,
∴
∴
=
=
∵-2<
∴
∴
点评:本题考查的知识点是二次函数的性质,方程的根,韦达定理,是函数、方程与不等式之间相互关系的典型例题.
练习册系列答案
相关题目