题目内容
在
中,
,
,
,则
的大小为
( )
A.
B.
C.
D.![]()
【答案】
B
【解析】
试题分析:
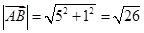
,
,即
,而
,
,解得
,
,
,
,
,![]()
,故选B.
考点:1.平面向量的坐标运算;2.平面向量的数量积
练习册系列答案
相关题目
题目内容
在
中,
,
,
,则
的大小为
( )
A.
B.
C.
D.![]()
B
【解析】
试题分析:
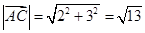
,
,即
,而
,
,解得
,
,
,
,
,![]()
,故选B.
考点:1.平面向量的坐标运算;2.平面向量的数量积