搜索
题目内容
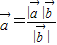
设
、
都是非零向量,下列四个条件中,使
成立的充分条件是( )
A.
且
B.
C.
D.
试题答案
相关练习册答案
【答案】
分析:
利用向量共线的充要条件,求已知等式的充要条件,进而可利用命题充要条件的定义得其充分条件
解答:
解:
?
?
与
共线且同向?
且λ>0,
故选 D
点评:
本题主要考查了向量共线的充要条件,命题的充分和必要性,属基础题
练习册系列答案
小学毕业班总复习系列答案
小学毕业测试卷系列答案
毕业复习指导系列答案
小学毕业考试标准及复习指导系列答案
考前全程总复习系列答案
培优全真模拟试卷系列答案
五读俱全系列答案
亮点激活精编提优100分大试卷系列答案
同步辅导与能力训练阶段综合测试卷系列答案
小学自评测试 系列答案
相关题目
设
、
都是非零向量,下列四个条件中,使
成立的充分条件是( )
A、
B、
C、
D、
且
设
、
都是非零向量,下列四个条件中,使
成立的充分条件是( )
A、
且
B、
C、
D、
设
、
都是非零向量,下列四个条件中,使
成立的充分条件是( )
A.
B.
C.
D.
且
设
、
都是非零向量,下列四个条件中,使
成立的充分条件是( )
A.
且
B.
C.
D.
设
、
都是非零向量,下列四个条件中,使
成立的充分条件是( )
A.
B.
C.
D.
且
关 闭
试题分类
高中
数学
英语
物理
化学
生物
地理
初中
数学
英语
物理
化学
生物
地理
小学
数学
英语
其他
阅读理解答案
已回答习题
未回答习题
题目汇总
试卷汇总
练习册解析答案