题目内容
抛物线y=x2到直线2x-y=4距离最近的点的坐标是( )A.(
B.(1,1)
C.(
D.(2,4)
【答案】分析:设出P的坐标,进而根据点到直线的距离公式求得P到直线的距离的表达式,根据x的范围求得距离的最小值.
解答:解:设P(x,y)为抛物线y=x2上任一点,
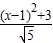
则P到直线的距离d=
=
=
,
∴x=1时,d取最小值
,
此时P(1,1).
故选B
点评:本题主要考查了抛物线的简单性质,点到直线的距离公式.考查了学生数形结合的数学思想和基本的运算能力.
解答:解:设P(x,y)为抛物线y=x2上任一点,
则P到直线的距离d=
∴x=1时,d取最小值
此时P(1,1).
故选B
点评:本题主要考查了抛物线的简单性质,点到直线的距离公式.考查了学生数形结合的数学思想和基本的运算能力.
练习册系列答案
相关题目
抛物线y=x2到直线2x-y=4距离最近的点的坐标是( )
A、(
| ||||
| B、(1,1) | ||||
C、(
| ||||
| D、(2,4) |