题目内容
已知双曲线过点A(-2,4)、B(4,4),它的一个焦点是F1(1,0),求它的另一个焦点F2的轨迹方程.
【答案】分析:由双曲线的定义列出有关另一个焦点的方程,进行分类讨论,由式子的几何意义和椭圆的定义进行求解,并把不符合题意的点去掉,即可得到另一个焦点F2的轨迹方程.
解答:解:∵双曲线过点A(-2,4)和B(4,4),它的一个焦点是F1(1,0),
∴|AF1|=|BF1|=5,
由双曲线的定义知,||AF1|-|AF2||=||BF1|-|BF2||,即|5-|AF2||=|5-|BF2||,
(1)当5-|AF2|=5-|BF2|时,即|AF2|=|BF2|,
∴焦点F2的轨迹是线段AB的中垂线,其方程为x=1(y≠0),
(2)当5-|AF2|=|BF2|-5时,即|AF2|+|BF2|=10>6,
∴焦点F2的轨迹是以A、B为焦点,长轴为10的椭圆,
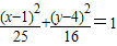
∴其中心是(1,4),a=5,c=3,∴b2=25-9=16,
∴其方程为
(y≠0)
综上,另一个焦点F2的轨迹方程为:x=1(y≠0)或
(y≠0).
点评:本题考查轨迹方程,考查学生分析解决问题的能力,由双曲线和椭圆的定义求动点的轨迹方程是关键.
解答:解:∵双曲线过点A(-2,4)和B(4,4),它的一个焦点是F1(1,0),
∴|AF1|=|BF1|=5,
由双曲线的定义知,||AF1|-|AF2||=||BF1|-|BF2||,即|5-|AF2||=|5-|BF2||,
(1)当5-|AF2|=5-|BF2|时,即|AF2|=|BF2|,
∴焦点F2的轨迹是线段AB的中垂线,其方程为x=1(y≠0),
(2)当5-|AF2|=|BF2|-5时,即|AF2|+|BF2|=10>6,
∴焦点F2的轨迹是以A、B为焦点,长轴为10的椭圆,
∴其中心是(1,4),a=5,c=3,∴b2=25-9=16,
∴其方程为
综上,另一个焦点F2的轨迹方程为:x=1(y≠0)或
点评:本题考查轨迹方程,考查学生分析解决问题的能力,由双曲线和椭圆的定义求动点的轨迹方程是关键.
练习册系列答案
相关题目