题目内容
已知函数f(x)=sin2x-2sin2x,
(Ⅰ)求函数f(x)的最小正周期;
(Ⅱ)求函数f(x)的最大值及f(x)取最大值时x的集合。
(Ⅰ)求函数f(x)的最小正周期;
(Ⅱ)求函数f(x)的最大值及f(x)取最大值时x的集合。
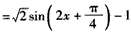
解:(Ⅰ)因为f(x)=sin2x-(1-cos2x)
,
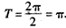
所以函数f(x)的最小正周期为
。
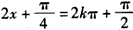
(Ⅱ)由(Ⅰ)知,当
,即
时,
f(x)取最大值
,
因此函数f(x)取最大值时x的集合为
。
所以函数f(x)的最小正周期为
(Ⅱ)由(Ⅰ)知,当
f(x)取最大值
因此函数f(x)取最大值时x的集合为
练习册系列答案
相关题目