搜索
题目内容
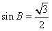
在锐角三角形ABC中,角A,B,C所对的边分别是
a
,b,c且
。
(1)求B;
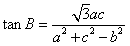
(2)求
的值。
试题答案
相关练习册答案
解:(1)
,
又
,
∴
,B为锐角,
∴B=60°。
(2)∵B=60°,
∴
。
练习册系列答案
中考航标系列答案
久为教育8年沉淀1年突破系列答案
试题探究中考全程复习指导系列答案
河北考王赢在中考系列答案
鸿鹄志文化期末冲刺王寒假作业系列答案
名题教辅寒假作业快乐衔接武汉出版社系列答案
走进名校天府中考一本通系列答案
QQ教辅中考题库系列答案
小考必备小升初三年真题测试卷系列答案
宏翔文化全国名校中考模拟试题系列答案
相关题目
在锐角三角形ABC中,a,b,c分别是角A,B,C的对边,且a=2bsinA.
(1)求∠B的大小;
(2)若
a=3
3
,c=5
,求边b的长.
在锐角三角形ABC中,a,b,c分别为内角A,B,C所对的边,且满足
3
a-2bsinA=0
.
(Ⅰ)求角B的大小;
(Ⅱ)若
b=
7
,c=2,求
AB
•
AC
的值.
在锐角三角形ABC中,a,b,c分别是角A、B、C的对边,
p
=(a+c,b),
q
=(c-a,b-c)且
p
⊥
q
(1)求A的大小;
(2)记
f(B)=2si
n
2
B+sin(2B+
π
6
)
,求f(B)的取值范围.
(2011•南充一模)在锐角三角形ABC中,角A,B,C对边a,b,c且a
2
+b
2
-
2
ab=c
2
,tanA-tanB=csc2A
①求证:2A-B=
π
2
;
②求三角形ABC三个角的大小.
已知命题p:在锐角三角形ABC中,?A,B,使sinA<cosB;命题q:?x∈R,都有x
2
+x+1>0,给出下列结论:
①命题“p∧q”是真命题;
②命题“¬p∨q”是真命题;
③命题“¬p∨¬q”是假命题;
④命题“p∧¬q”是假命题;
其中正确结论的序号是( )
关 闭
试题分类
高中
数学
英语
物理
化学
生物
地理
初中
数学
英语
物理
化学
生物
地理
小学
数学
英语
其他
阅读理解答案
已回答习题
未回答习题
题目汇总
试卷汇总
练习册解析答案