题目内容
设曲线C:f(x)=lnx-ex(e=2.71828…),f′(x)表示f(x)导函数.(I)求函数f(x)的极值;
(II)数列{an}满足a1=e,
(III)对于曲线C上的不同两点A(x1,y1),B(x2,y2),x1<x2,求证:存在唯一的x∈(x1,x2),使直线AB的斜率等于f′(x).
【答案】分析:(I)先对函数进行求导,讨论满足f′(x)=0的点附近的导数的符号的变化情况,来确定极值点,求出极值即可.
(II)根据递推关系求出数列通项an,假设数列{an}中存在成等差数列的三项ar,as,at,寻求矛盾即可.
(III)假设存在,再进行论证
解答:解:(I)
,得
当x变化时,f′(x)与f(x)变化情况如下表:
∴当
时,f(x)取得极大值
,没有极小值; …(4分)
(II)∵
,∴an+1=2an+e
,∴an=e(2n-1)…(6分)
假设数列{an}中存在成等差数列的三项ar,as,at(r<s<t),
则2as=ar+at,2e(2s-1)=e(2r-1)+e(2t-1),2s+1=2r+2t,∴2s-r+1=1+2t-r又s-r+1>0,t-r>0,
∴2s-r+1为偶数,1+2t-r为奇数,假设不成立
因此,数列{an}中不存在成等差数列的三项 …(8分)
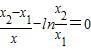
(III)∵f′(x)=kAB,∴
,∴
即
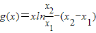
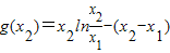
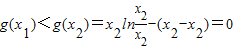
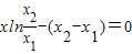
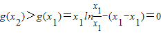
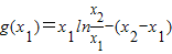
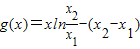
,设
,
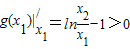
,g(x1)是x1的增函数,
∵x1<x2,∴
;
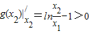
,
,g(x2)是x2的增函数,
∵x1<x2,∴
,
∴函数
在(x1,x2)内有零点x,…(10分)
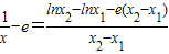
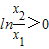
又∵
,∴
,函数
在(x1,x2)是增函数,
∴函数
在(x1,x2)内有唯一零点x,命题成立…(12分)
点评:本题主要考查了利用导数研究函数的极值,以及等差数列的性质,属于中档题.
(II)根据递推关系求出数列通项an,假设数列{an}中存在成等差数列的三项ar,as,at,寻求矛盾即可.
(III)假设存在,再进行论证
解答:解:(I)
当x变化时,f′(x)与f(x)变化情况如下表:
| x | |||
| f′(x) | + | - | |
| f(x) | 单调递增 | 极大值 | 单调递减 |
(II)∵
假设数列{an}中存在成等差数列的三项ar,as,at(r<s<t),
则2as=ar+at,2e(2s-1)=e(2r-1)+e(2t-1),2s+1=2r+2t,∴2s-r+1=1+2t-r又s-r+1>0,t-r>0,
∴2s-r+1为偶数,1+2t-r为奇数,假设不成立
因此,数列{an}中不存在成等差数列的三项 …(8分)
(III)∵f′(x)=kAB,∴
即
∵x1<x2,∴
∵x1<x2,∴
∴函数
又∵
∴函数
点评:本题主要考查了利用导数研究函数的极值,以及等差数列的性质,属于中档题.
练习册系列答案
相关题目