搜索
题目内容
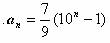
数列7,77,777,7777,…的一个通项公式是______________________。
试题答案
相关练习册答案
答案
练习册系列答案
新暑假生活系列答案
蓝博士暑假生活甘肃少年儿童出版社系列答案
期末1卷素质教育评估卷系列答案
假期生活北京教育出版社系列答案
暑假作业武汉出版社系列答案
暑假学习与生活山东友谊出版社系列答案
成长记暑假总动员云南科技出版社系列答案
课课练检测卷系列答案
培优提高暑期班初中衔接教材浙江大学出版社系列答案
新活力总动员新课标暑系列答案
相关题目
数列7,77,777,7777,77777,…的通项公式为
7
9
×(1
0
n
-1)
7
9
×(1
0
n
-1)
.
数列7,77,777,7777…的一个通项公式是
a
n
=
7
9
(10
n
-1)
a
n
=
7
9
(10
n
-1)
.
数列7,77,777,7777,…
n个7
77…7
,…的前n项和为( )
A.
7
9
(10
n
-1)
B.
70
9
(10
n
-1)
C.
7
9
[
10
9
(10
n
-1)]-1
D.
7
9
[
10
9
(10
n
-1)-n]
数列7,77,777,7777,77777,…的通项公式为______.
数列7,77,777,7777,77777,…的通项公式为
.
关 闭
试题分类
高中
数学
英语
物理
化学
生物
地理
初中
数学
英语
物理
化学
生物
地理
小学
数学
英语
其他
阅读理解答案
已回答习题
未回答习题
题目汇总
试卷汇总
练习册解析答案