题目内容
已知函数f(x)=x3-x2+
,且存在x0∈(0,
),使f(x0)=x0
(1)证明:f(x)是R上的单调增函数;
(2)设x1=0,xn+1=f(xn);y1=
,yn+1=f(yn),其中n=1,2,…证明:xn<xn+1<x0<yn+1<yn;
(3)证明:
。
(1)证明:f(x)是R上的单调增函数;
(2)设x1=0,xn+1=f(xn);y1=
(3)证明:
解:(1)∵
∴f(x)是R上的单调增函数。
(2)∵
即
又f(x)是增函数
∴
即
又

综上,
。
用数学归纳法证明如下:
(i)当n=1时,上面已证明成立;
(ii)假设当n=k (k≥1)时有
当n=k+1时,由f(x)是单调增函数,有

∴
由(i)和(ii)对一切n=1,2,…,都有
。
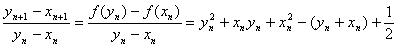
(3)

由(2)知,
∴
∴
。
∴f(x)是R上的单调增函数。
(2)∵
即
又f(x)是增函数
∴
即
又
综上,
用数学归纳法证明如下:
(i)当n=1时,上面已证明成立;
(ii)假设当n=k (k≥1)时有
当n=k+1时,由f(x)是单调增函数,有
∴
由(i)和(ii)对一切n=1,2,…,都有
(3)
由(2)知,
∴
∴
练习册系列答案
相关题目
| π |
| 2 |
A、f(x)=2sin(πx+
| ||
B、f(x)=2sin(2πx+
| ||
C、f(x)=2sin(πx+
| ||
D、f(x)=2sin(2πx+
|