题目内容
已知椭圆A.4
B.5
C.7
D.8
【答案】分析:先把椭圆方程转换成标准方程,进而根据焦距求得m.
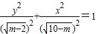
解答:解:将椭圆的方程转化为标准形式为
,
显然m-2>10-m,即m>6,
,解得m=8
故选D
点评:本题主要考查了椭圆的简单性质.要求学生对椭圆中对长轴和短轴即及焦距的关系要明了.
解答:解:将椭圆的方程转化为标准形式为
显然m-2>10-m,即m>6,
故选D
点评:本题主要考查了椭圆的简单性质.要求学生对椭圆中对长轴和短轴即及焦距的关系要明了.
练习册系列答案
相关题目