题目内容
已知数列{an}中,
,当n≥2时,3an+1=4an-an-1(n∈N*),
(Ⅰ)证明:{an+1-an}为等比数列;
(Ⅱ)求数列{an}的通项;
(Ⅲ)若对任意n∈N*有λa1a2a3…an≥1(λ∈N*)均成立,求λ的最小值。
(Ⅰ)证明:{an+1-an}为等比数列;
(Ⅱ)求数列{an}的通项;
(Ⅲ)若对任意n∈N*有λa1a2a3…an≥1(λ∈N*)均成立,求λ的最小值。
(Ⅰ)证明:∵数列{an}中,
,
当n≥2时,3an+1=4an-an-1(n∈N*),
∴当n≥2时,
,
即
,
所以,
是以
为首项,以
为公比的等比数列。
(Ⅱ)解:由(Ⅰ)知,
,
故![]()
,
累加,得
,
所以,
。
(Ⅲ)解:若对任意n∈N*有λa1a2a3…an≥1(λ∈N*)均成立,
即
在n∈N*时恒成立,
故需求
在n∈N*上的最小值,
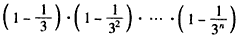
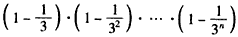
先证n∈N*时有
,
显然,左边每个因式都是正数,先证明对每个n∈N*,有
,
用数学归纳法证明上式,
(ⅰ)n=1时,上式显然成立;
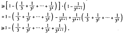
(ⅱ)假设n=k时,结论成立,
即
,
则当n=k+1时,![]()
![]()
即当n=k+1时,结论也成立;
故对一切n∈N*,![]()
成立,
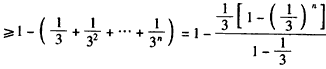
所以,![]()
![]()
,
∵
,
易知![]()
,
故
,
而
在n∈N*时恒成立且λ∈N*,
所以,λ的最小值为2。
练习册系列答案
相关题目
已知数列{an}中,a1=1,2nan+1=(n+1)an,则数列{an}的通项公式为( )
A、
| ||
B、
| ||
C、
| ||
D、
|