题目内容
已知点M(-3,0)、N(3,0)、B(1,0),动圆C与直线MN切于点B,过M、N与圆C相切的两直线相交于点P,则P点的轨迹方程为( )A.
B.
C.
D.
【答案】分析:先由题意画出图形,可见⊙C是△PMN的内切圆,则由切线长定理得|MA|=|MB|、|ND|=|NB|、|PA|=|PD|;此时求|PM|-|PN|可得定值,即满足双曲线的定义;然后求出a、b,写出方程即可(要注意x的取值范围).
解答:
解:由题意画图如下
可见|MA|=|MB|=4,|ND|=|NB|=2,且|PA|=|PD|,
那么|PM|-|PN|=(|PA|+|MA|)-(|PD|+|ND|)=|MA|-|ND|=4-2=2<|MN|,
所以点P的轨迹为双曲线的右支(右顶点除外),
又2a=2,c=3,则a=1,b2=9-1=8,
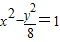
所以点P的轨迹方程为
(x>1).
故选B.
点评:本题主要考查双曲线的定义与标准方程.
解答:
可见|MA|=|MB|=4,|ND|=|NB|=2,且|PA|=|PD|,
那么|PM|-|PN|=(|PA|+|MA|)-(|PD|+|ND|)=|MA|-|ND|=4-2=2<|MN|,
所以点P的轨迹为双曲线的右支(右顶点除外),
又2a=2,c=3,则a=1,b2=9-1=8,
所以点P的轨迹方程为
故选B.
点评:本题主要考查双曲线的定义与标准方程.
练习册系列答案
相关题目
已知点M(-3,0)、N(3,0)、B(1,0),动圆C与直线MN切于点B,过M、N与圆C相切的两直线相交于点P,则P点的轨迹方程为( )
A、x2-
| ||
B、x2-
| ||
C、x2+
| ||
D、x2-
|
已知点M(
,0),椭圆
+y2=1与直线y=k(x+
)交于点A、B,则△ABM的周长为( )
| 3 |
| x2 |
| 4 |
| 3 |
| A、4 | B、8 | C、12 | D、16 |
已知点M(-3,0),N(3,0),设P(x,y)是区域C
边界上的点,则下列式子恒成立的是( )
|
| A、|PM|+|PN|≥10 |
| B、|PM|-|PN|≥10 |
| C、|PM|+|PN|≤10 |
| D、|PM|+|PN|=10 |