题目内容

,则(   )

A.               B.                C.                 D.

 

【答案】

A

【解析】

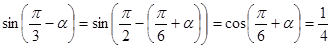
试题分析:由,则.

考点:二倍角余弦公式

 

练习册系列答案
相关题目

违法和不良信息举报电话:027-86699610 举报邮箱:58377363@163.com

精英家教网