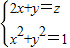
题目内容
若A.[
B.[-
C.[-
D.[-
【答案】分析:先画出可行域,将目标函数变形,画出目标函数对应的直线,再将直线平移由图求出函数值的范围.
解答:
解:画出可行域,如图阴影部分.
将z=2x+y变形得y=-2x+z,画出对应的直线,
由
⇒A(-
,
)
由图知当直线过A(-
,
)时,z最小为-
;
由
⇒x2+(z-2x)2=1,
⇒5x2-4zx+z2-1=0,由△=0得z=±
,
当直线与半圆相切时时,z最大为
,
所以z的取值范围是[-
,
],
故选C.
点评:画不等式组表示的平面区域、利用图形求二元函数的最值,用图解法解决线性规划问题时,分析题目的已知条件,找出约束条件和目标函数是关键.
解答:
将z=2x+y变形得y=-2x+z,画出对应的直线,
由
由图知当直线过A(-
由
⇒5x2-4zx+z2-1=0,由△=0得z=±
当直线与半圆相切时时,z最大为
所以z的取值范围是[-
故选C.
点评:画不等式组表示的平面区域、利用图形求二元函数的最值,用图解法解决线性规划问题时,分析题目的已知条件,找出约束条件和目标函数是关键.
练习册系列答案
相关题目