题目内容
已知直线
的参数方程:
(
为参数)和圆
的极坐标方程:
.
(Ⅰ)将直线
的参数方程化为普通方程,圆
的极坐标方程化为直角坐标方程;
(Ⅱ)判断直线
和圆
的位置关系.
解:(Ⅰ)消去参数
,得直线
的普通方程为
………………2分
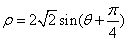
,即
,两边同乘以
得
,
得⊙
的直角坐标方程为
………………………5分
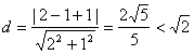
(Ⅱ)圆心
到直线
的距离
,所以直线
和⊙
相交…7分
练习册系列答案
相关题目
题目内容
已知直线
的参数方程:
(
为参数)和圆
的极坐标方程:
.
(Ⅰ)将直线
的参数方程化为普通方程,圆
的极坐标方程化为直角坐标方程;
(Ⅱ)判断直线
和圆
的位置关系.
解:(Ⅰ)消去参数
,得直线
的普通方程为
………………2分
,即
,两边同乘以
得
,
得⊙
的直角坐标方程为
………………………5分
(Ⅱ)圆心
到直线
的距离
,所以直线
和⊙
相交…7分