题目内容
给出下列四种说法:①函数y=ax(a>0且a≠1)与函数y=logaax(a>0且a≠1)的定义域相同;
②函数y=x3与y=3x的值域相同;
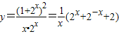
③函数y=
④函数y=(x-1)2与y=2x-1在区间[0,+∞)上都是增函数.
其中正确的序号是 (把你认为正确叙述的序号都填上).
【答案】分析:①中两函数的定义域均为x>0;
②中函数y=x3的值域为R,y=3x的值域(0,+∞);
③中两个函数都可以先进行化简,在利用奇偶性的定义看f(-x)和f(x)的关系即可;
④中易判断函数y=(x-1)2的单调增区间是[1,+∞).
解答:解:①中两函数的定义域均为x>0,故①正确;
②中函数y=x3的值域为R,y=3x的值域(0,+∞),故②错误;
③中
,所以f(-x)=-f(-x),为奇函数,
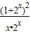
而
,y=
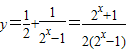
是奇函数,y=2x+2-x+2是偶函数,所以y=
是奇函数,故③正确;
④函数y=(x-1)2在[1,+∞)上单增,故④错误.
故答案为:①③
点评:本题考查函数的定义域、值域、单调性和奇偶性等性质,是基础知识、基本题型的考查.
②中函数y=x3的值域为R,y=3x的值域(0,+∞);
③中两个函数都可以先进行化简,在利用奇偶性的定义看f(-x)和f(x)的关系即可;
④中易判断函数y=(x-1)2的单调增区间是[1,+∞).
解答:解:①中两函数的定义域均为x>0,故①正确;
②中函数y=x3的值域为R,y=3x的值域(0,+∞),故②错误;
③中
而
④函数y=(x-1)2在[1,+∞)上单增,故④错误.
故答案为:①③
点评:本题考查函数的定义域、值域、单调性和奇偶性等性质,是基础知识、基本题型的考查.
练习册系列答案
相关题目