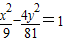
题目内容
双曲线的渐近线方程为
【答案】分析:先确定a的值,再分类讨论,求出b的值,即可得到双曲线的标准方程.
解答:解:由题意2a=6,∴a=3
当焦点在x轴上时,∵双曲线的渐近线方程为
,∴
,∴b=
,∴方程为
;
当焦点在y轴上时,∵双曲线的渐近线方程为
,∴
,∴b=2,∴方程为
,
故答案为:
或
点评:本题考查双曲线的标准方程与几何性质,考查分类讨论的数学思想,属于中档题.
解答:解:由题意2a=6,∴a=3
当焦点在x轴上时,∵双曲线的渐近线方程为
当焦点在y轴上时,∵双曲线的渐近线方程为
故答案为:
点评:本题考查双曲线的标准方程与几何性质,考查分类讨论的数学思想,属于中档题.
练习册系列答案
相关题目