搜索
题目内容
已知
z
1
,
z
2
为共轭复数,且
.求复数
z
1
及它的模|
z
1
|.
试题答案
相关练习册答案
练习册系列答案
课课练与单元测试系列答案
世纪金榜小博士单元期末一卷通系列答案
单元测试AB卷台海出版社系列答案
黄冈新思维培优考王单元加期末卷系列答案
名校名师夺冠金卷系列答案
小学英语课时练系列答案
培优新帮手系列答案
天天向上一本好卷系列答案
小学生10分钟应用题系列答案
课堂作业广西教育出版社系列答案
相关题目
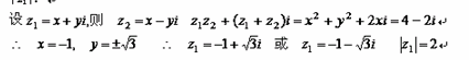
已知z
1
,z
2
为共轭复数,且z
1
z
2
+(z
1
+z
2
)i=4-2i.求复数z
1
及它的模|z
2
|.
已知
z
1
,
z
2
为共轭复数,且
.求复数
z
1
及它的模|
z
2
|.
已知z
1
,z
2
为共轭复数,且z
1
z
2
+(z
1
+z
2
)i=4-2i.求复数z
1
及它的模|z
2
|.
已知z
1
,z
2
为共轭复数,且z
1
z
2
+(z
1
+z
2
)i=4-2i.求复数z
1
及它的模|z
2
|.
已知z
1
,z
2
为共轭复数,且z
1
z
2
+(z
1
+z
2
)i=4-2i.求复数z
1
及它的模|z
2
|.
关 闭
试题分类
高中
数学
英语
物理
化学
生物
地理
初中
数学
英语
物理
化学
生物
地理
小学
数学
英语
其他
阅读理解答案
已回答习题
未回答习题
题目汇总
试卷汇总
练习册解析答案