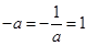
题目内容

是直线与直线平行的(   )

A.充分不必要条件

B.必要不充分条件

C.充要条件

D.既不充分也不必要条件

 

【答案】

A

【解析】

试题分析:直线,易知其斜率为.直线,若,则其斜率为.当时,,所以两直线平行.此外当时,,两直线也平行.故可推出直线与直线平行,但直线与直线平行不一定能推出.所以是直线与直线平行的充分不必要条件.

考点:充分条件与必要条件、直线平行的判定

 

练习册系列答案
相关题目

违法和不良信息举报电话:027-86699610 举报邮箱:58377363@163.com

精英家教网